婷婷射五月I久久免费视频8I久草免费在线观看I色福利网站Iav高清免费在线I久久久久亚洲最大xxxxI久久久99精品免费观看

靈科

量化

返回列表 來源: 發布日期: 2022.11.16

模擬信號采樣后得到的離散信號不是數字信號,為了讓計算機能夠接受,還必須對其進行量化處理。量化過程是將被測信號的變化范圍劃分成若干區間,每個區間都用同一個整量化數字來代替,如圖3-3所示 。其實質是用一個共同的單位對每個采樣值進行整量化,以便進行數字編碼,得到數值輸出。量化中所用的共同單位稱為量化單位,用q來表示。


               


顯然,只有那些正好位于區間量化端點的離散值,才能被精確地轉換成數字值,而那些位于區間內的離散值,則只能用舍入的辦法,歸算到最接近的量化電平上。因此,量化過程也可以說是用近似值表示信號精確值的過程。由此產生的誤差稱為量化誤差,最大的量化誤差值為±q/2。若將尾數作舍入處理,則


 珠海超聲波


當q為定值時,K則代表x(n?t)的連續值轉換成數字量化的數值。q越小,量化誤差的最大值也就越小。實際上A/D轉換器的K是以二進制碼的形成輸出的。對一定的信號幅值來說,若q過小,則K值過大,要求二進制碼的位數就長,而A/D轉換器位數有限。實際應用中通常先固定輸入A/D轉換器的模擬量的最高峰值,然后再根據轉換器的位數來決定q值大小。


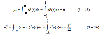
對于理想的轉換過程,量化誤差具有均勻的概率分布,即


珠海超聲波 


則均值與方差為


珠海超聲波


誤差的標準差為


 珠海超聲波


一般說來,量化誤差與信號獲取和處理過程中的其他誤差相比是可以忽略的。但分析信號時應適當對信號作調整,使樣本段上的峰值盡可能接近轉換器的最高輸入電平,以提高分析時的信噪比;另外,應使連續信號的范圍盡可能占滿可用的量化范圍。



靈科超聲波堅持自主研發,最大力度投入研發設計,擁有一支近30年的研發制造團隊,發明創造170余項專利新技術。主要品牌有LINGGAO靈高、LINGKE靈科、SHENGFENG聲峰等。廣泛運用在醫療器械、電子器材、 打印耗材、塑料、無紡布、包裝、汽配等多個領域,為海內外各行業、企業提供了大量穩定性強的優質超聲波塑焊設備應用方案 。

【相關推薦】

咨詢熱線

13612231694